-
-
- Airgel
- Betoni
- Puu ja puupohjaiset materiaalit
- Maali, kyllästys
- Kumi
- paisutettu savi
- Hillo
- Keraamiset materiaalit
- Hake- ja sementtimateriaalit
- PVC - PVC
- Perliitti
- PE polyeteeni
- XPS suulakepuristettu polystyreeni
- PUR polyuretaani
- PIR-polyisosyanuraatti
- Resol
- EPS polystyreeni
- Vaahtolasi
- Puu ja hamppuvilla
- Mineraalivilla
- Lampaan villaa
- Keraaminen villa
- Selluloosa villaa
- Vermikuliitti
- Pii
- Akryyli
- Fireclay
-
- Kattilan lämmöneristys
- Ovien ja porttien lämpöeristys
- Irroittimen lämmöneristys
- Liitosten lämmöneristys
- Parvekkeiden ja terassien lämpöeristys
- Uima-altaiden ja uima-altaiden lämmöneristys
- Ilmastointilaitteiden lämmöneristys
- Kylmäautojen lämmöneristys
- Kylmävaunujen lämmöneristys
- Säiliön lämmöneristys
- Kattilan savuhormin lämmöneristys
- Sähköstaattisen erottimen lämmöneristys
- Perustusten lämmöneristys
- Höyrystimen lämmöneristys
- Pakokaasukanavien lämmöneristys
- Ilmanvaihtokanavien lämmöneristys
- Tasasuuntauskolonnin lämmöneristys
- Savupiipun lämmöneristys
- Takan lämmöneristys
- Lämmityskammioiden lämmöneristys
- Kylpyhuoneen lämpöeristys
- Uunin lämmöneristys
- Asennusläpiviennin lämpöeristys
-
- Jäähdytyslaitteiston lämmöneristys
- Keskuslämmitys- ja käyttövesijärjestelmien lämmöneristys
- Viemärijärjestelmien lämmöneristys
- Ilmastoinnin lämmöneristys
- Palontorjuntalaitteistojen lämmöneristys
- Saniteettilaitteistojen lämmöneristys
- Aurinkopaneelien lämmöneristys
- Happilaitteiston lämmöneristys
- Sprinkleriasennuksien lämmöneristys
- Ilmanvaihtojärjestelmän lämmöneristys
- Höyryasennuksen lämmöneristys
- Putkilinjan lämmöneristys
- Saunan lämpöeristys
- Katon lämmöneristys
-
- Kolmikerroksisen onkaloseinän, kolmikerroksisen seinän lämpöeristys
- Väliseinän ja sisäseinän lämpöeristys
- Teräshallin seinän lämpöeristys
- Runkoseinän, runkorakenteisen seinän lämmöneristys
- Verhoseinän lämmöneristys
- Seinien lämpöeristys kivi- ja lasijulkisivulla, tuuletetut julkisivut
- Seinien lämpöeristys rappausjulkisivulla, kevyt märkämenetelmä
- Ulkoseinän lämmöneristys
- Turbiinin lämmöneristys
- Säiliön lämmöneristys
- Ullakon lämpöeristys
-
-
-
- Polymeeridispersiot
-
- emalit
- Emulsiot
- Koristemaalit
- Allasmaalit
- Betoni maalit
- Puun maalit
- Julkisivumaalit
- Kylmäsinkitysmaalit
- Maalit metallille
- Maalit lammikoihin
- Maalit lastenhuoneisiin
- Maalit kosteisiin tiloihin
- Rakennemaalit
- Maalit kumin lämmöneristykseen
- Merkintämaalit
- Lämpöä eristävät maalit
- Korkean lämpötilan maalit
- Lakat
- Graffitin poistoaineet
-
- Pohjusteet betonialustalle
- Pohjamaalit imukykyisille pinnoille
- Pohjusteet huokoisille pinnoille
- Bitumiset maaperät
- Puun pohjamaalit
- Joustavat maat
- Pohjamaalit maaleille
- Pohjamaalit liima- ja liimalaasteille
- Pohjamaalit kipsille
- Tarttuvuutta parantavat pohjamaalit
- Universaali maa
- Pohjamaalit vedeneristyspinnoitteissa
- Maata vahvistavat pohjamaalit
- Primer lakat
- Alusmateriaalit teipeille
- Pohjusteet ei-imukykyisille pinnoille
- Lattian aluskatteet
-
- Akryylit
- Nestemäiset kalvot
- Bituminen vedeneristys
- Mineraali vedeneristys
- Kittejä
- Hartsipinnoitteet
- Kosteuden vaimentimet
- Silikonit
- Parvekkeen ja terassin vesieristys
- Katon vesieristys
- Vedeneristys teiden rakentamiseen
- Vesieristys rakennusten saneeraustarkoituksiin
- Vedeneristys käytettäväksi sateessa ja veden alla
- Vedeneristys käytettäväksi pakkasessa
- Perustusten ja kellarien vesieristys
- Kylpyhuoneiden ja saunojen vesieristys
- Seinien vedeneristys
- Lattian vedeneristys
-
-
- Sementtiliimat
- Dispersioliimat
- Epoksiliimat
- Kipsiliimat
- Hybridiliimat
- Kumiliimat
- Rakennusliimat
- Kontaktiliimat
- Asennusliimat
- Polyuretaaniliimat
- Synteettiset liimat
- Kuumasulate liimat
- Yleiskäyttöiset liimat
- Vedenpitävät liimat
- Korkean lämpötilan liimat
- Liimat akvaarioille
- Liimat alumiinille
- Kengän liimat
- Puun liimat
- EPDM-liimat
- Folioliimat
- Liimat hiilihapotettuun betoniin
- Liimat bitumisille vyöruusuille
- Liimat kiville ja julkisivulaatoille
- Korkkiliimat
- Peililiimat
- Liimat seinä- ja lattiapaneeleille
- Parketti liimat
- PVC-liimat
- Liimat laatoille, laatoille, kivitavaralle, terrakottalle
- Tapettien liimat
- Liimat kumin lämmöneristykseen
- Liimat lattianpäällysteisiin
-
- Akvaarion silikonit
- Katon silikonit
- Silikonit tulisijoihin
- Silikonit peileihin
- Silikonit marmorille, graniitille, kivelle
- Silikonit kylpyammeeseen
- Laajentuvat silikonit
- Värilliset silikonit
- Autojen silikonit
- Neutraaleja silikoneja
- Palonkestävät silikonit
- Saniteettisilikonit
- Lasi silikonit
- Universaalit silikonit
- Korkean lämpötilan silikonit
- Silikoniset voiteluaineet
-
- Eristysjärjestelmät - maalit
- Lämmöneristysjärjestelmät - maaperä
- Eristysjärjestelmät - liimat
- Eristysjärjestelmät - muut materiaalit
- Eristysjärjestelmät - vahvistus- ja suojaverkot
- Eristysjärjestelmät - polystyreeni
- Eristysjärjestelmät - kipsit
- Eristysjärjestelmät - mineraalivilla
- Eristysjärjestelmät - suulakepuristetut xps-polystyreenit
- Eristysjärjestelmät - Alpol
- Eristysjärjestelmät - Atlas
- Eristysjärjestelmät - Baumit
- Eristysjärjestelmät - Bolix
- Eristysjärjestelmät - Ceresit
- Eristysjärjestelmät - Kabe
- Eristysjärjestelmät - Kreisel
- Eristysjärjestelmät - Rockwool
- Eristysjärjestelmät - TermoOrganika
- Eristysjärjestelmät - Baumaster
- Eristysjärjestelmät - Nopea
- Eristysjärjestelmät - Foveo Tech
- Eristysjärjestelmät - Izohan
- Eristysjärjestelmät - Quick-mix
- Eristysjärjestelmät - Śnieżka
- Eristysjärjestelmät - Weber
- Eristysjärjestelmät - Cekol
- Eristysjärjestelmät - Solbet
- Eristysjärjestelmät - Izolbet
- Injektiot
-
- Akryylilaastarit
- Sementti- ja kalkkilaastarit
- Koristeelliset laastit
- Kipsi laastit
- Kone kipsit
- Mineraalilaastarit
- Mosaiikkilaastarit
- Peruskorjauslaastarit
- Silikaattilaastarit
- Silikaatti-silikoni laastarit
- Silikoni laastarit
- Rakenteelliset kipsit
- Kalkkilaastarit
- Sisätilojen kipsit
- Ulkoiset laastarit
- Sementtilaastit
-
- Bitumiset kitit
- Kittiä liikuntasaumojen täyttöön
- Parkettikitit
- Lasikitit
- Akryylitiivisteet
- Bitumiset tiivisteet
- Kattotiivisteet
- Betonitiivisteet
- Peltitiivisteet
- Kattotiilien tiivisteet
- Uunin tiivisteet
- Hybriditiivisteet
- Polyuretaanitiivisteet
- Korkean lämpötilan tiivisteet
- Vedeneristys
- Keraamiset kitit
- Biosidivalmisteet
-
-
-
- Akryylit
- Nestemäiset kalvot
- Bituminen vedeneristys
- Mineraali vedeneristys
- Kittejä
- Hartsipinnoitteet
- Kosteuden vaimentimet
- Silikonit
- Parvekkeen ja terassin vesieristys
- Katon vesieristys
- Vedeneristys teiden rakentamiseen
- Vesieristys rakennusten saneeraustarkoituksiin
- Vedeneristys käytettäväksi sateessa ja veden alla
- Vedeneristys käytettäväksi pakkasessa
- Perustusten ja kellarien vesieristys
- Kylpyhuoneiden ja saunojen vesieristys
- Seinien vedeneristys
- Lattian vedeneristys
-
-
-
- Sandwich-paneelit
- Styroksi
-
- Jalustalle
- Akustinen eristys
- Katto
- BSO:lle
- ETICS:lle
- Perusteisiin
- Äänieristykseen
- Kevyelle märkämenetelmälle
- Eristykseen
- Mainontaa varten
- Täyttöä varten
- Perusteellista
- Vedeneristys
- Koskien välissä
- Palkkien välissä
- Katoilla
- Tiellä
- Julkisivulla
- Julkisivulle
- Säiliöiden kylmäeristykseen
- Siltoja varten
- Pakkaamiseen
- Parkkipaikalla
- Ullakolle
- Lattioilla
- Putkille
- Katon rinteisiin, kattokiilat
- Lattialämmitykseen
- Kelluvien lattioiden alla
- Nokan alla
- Eristysjärjestelmät
- Kerroksellisissa seinissä
- halkeamiin
- Kolmikerroksisissa seinissä
-
-
- Tasakatot
- Kaltevat katot, ullakot
- Säätiöt
- Lattiat palkit maassa
- Lattiat kattopalkeissa
- Kelluvat lattiat maassa
- Kelluvat lattiat katossa
- Puiset katot
- Katot autotallien yläpuolella, autotallijärjestelmät
- Katot risteyksien yli, katot käytävien päällä
- Kellarin katot
- Alakatot
- Ilmastoidut katot, käyttökelvottomat ullakot
- Seinät
- Teräshallien seinät
- Runkoseinät, kevyet runkoseinät
- Verhoseinät
- Kolmikerroksiset seinät - kalvoseinät, kolmikerroksiset seinät
- Seinät kivi- ja lasijulkisivulla - tuuletetut julkisivut
- Seinät, joissa julkisivu on valmistettu paneeleista, pelti, sivuraide, laudat - tuuletetut julkisivut
- Seinät kipsijulkisivulla, kevyt märkämenetelmä
- Terassit
- Koneet ja työkalut villan eristykseen
-
-
- Työkalut, pienet kodinkoneet, tarvikkeet
- Työkalut ja laitteet kattohuovan käsittelyyn
- Metallilevykoneet
- Polttimet kattohuovan hitsaukseen
- Kattokoneet
- Tikkaat
- Betonisekoittimet
- Muuraustyökalut
- Sekoittimet * Sekoittimet * Sekoittimet
- Hiomakoneet * Kipsilastat
- Lattiatyökalut
- Jyrsinkoneet
- Kottikärryt * Dumpperit * Kärryt
- Puristimet
- Betonirullat
- Kuorma-autot * trukit * vaunut
- Lasit
- Puuntyöstökoneet
- Ilmavasarat * Hydrauliset vasarat * Sähkövasarat
- Teräksiset sakset
- Painepesurit
- Hitsauskoneet * Hitsauskoneet
- Lakaisukoneet
- Kiillotuskoneet
- Puhaltimet
- Juotosraudat
- Polttimet
- Porat
- Naulaajat
- Puristimet
- Jyrsimet
- Seinäkellot
- Sähkömoottorit
- Eksentrinen pokeripelit
- Joustavat akselit
- Vinssit
- Rullat
- Lamput * Taskulamput
- Ruuvimeisselit
- Palapelit
- Giljotiinit
- Imurit
- Moottorisahat
- Struga
- Tasasuuntaajat * Akkulaturit
- Lämmittimet
- Taivutuskoneet * Taivutuskoneet
- Vaivauskoneet
- Rullat
- Żłobiarki
- Työkalut ja leikkuukoneet
- Porauslaitteet
-
- Sähköiset sisäiset vibraattorit
- Sisäiset vibraattorit muuntimella
- Täryttimet kannettavalla muuntimella
- Polttoviimerit
- Akkukäyttöiset sisäiset vibraattorit
- Kiinteät vibraattorit
- Täryttimet muuntimella
- Pneumaattiset vibraattorit
- Tärisevät betoninauhat
- Akkukäyttöiset värinänauhat
- Manuaaliset tasoitusnauhat ja tarvikkeet
- Kaksiprofiiliset värinänauhat
- Betonin jyrsinkoneet
- Betonihiomakoneet
- Käsilastat betonille
- Itseliikkuvat lastat
- Sähkökäyttöiset betonisekoittimet
- Polttobetonisekoittimet
- Käsisekoittimet
-
- Vahvistustangon taivurit
- Terässakset
- Taivutus- ja leikkauskoneet raudoitustankoihin
- Jalustimen taivurit
- Taivutuskoneet spiraalien käämitykseen
- Tarvikkeet taivutuskoneille ja taivutussaksille
- Sähköiset raudoitussakset
- Langattomat raudoitussakset
- Taivutuskoneet ja manuaaliset sakset raudoitustankoihin
- Sähköiset vannekoneet raudoitustankoja varten
-
- Mäntäkompressorit
- Ruuvikompressorit
- Siirrettävät kompressorit, kannettavat kompressorit, kompressorit kenttätöihin
- Öljyttömät kompressorit
- Kiinteät kompressorit
- Kompressorit jatkuvaan käyttöön
- Hiljaiset kompressorit, äänieristetyt kompressorit, äänieristetyt kompressorit
- Suoravetoiset kompressorit
- Hihnakäyttöiset kompressorit
- Kompressorit kuivaimella
- Taloudelliset kompressorit
- Kompressorit autoteollisuudelle
- Kompressorit rengashuoltoon, kompressorit rengaskorjaamoihin
- Kompressorit maatalouteen, kompressorit metsätalouteen
- Paineilmaasemat
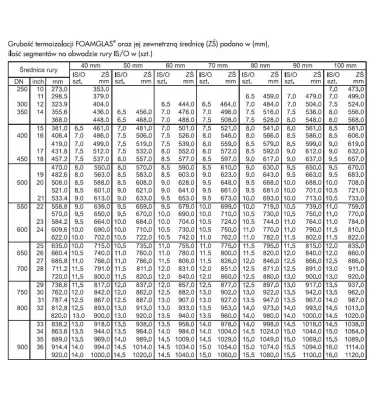
Pittsburgh Corning - Foamglas PSG -segmentit
FOAMGLAS PSH -segmentit on valmistettu T4-, S3- tai F-materiaalista yli 450 mm:n ulkohalkaisijalle.
Products description
FOAMGLAS PSH -segmentit on valmistettu T4-, S3- tai F-materiaalista yli 450 mm:n ulkohalkaisijalle.
Eristeen valintatiedot:
- putken halkaisija
- putkilinjan pituus
- eristyksen paksuus ja kerrosten lukumäärä
Specification
- pituus [mm]
- 600 mm
- erilaisia hihojen sisähalkaisijoita
- 273 - 920 mm
- Valmistajan tuotenumero (MPN)
- 27789
Lataa
Pittsburgh Corning - karta produktów
Download filePittsburgh Corning - Foamglas Segmenty PSG - karta produktu
Download fileKirjoita oma arvostelusi
Arvostelu lähetetty
Kommenttisi on lisätty ja se julkaistaan heti, kun ylläpitäjä on hyväksynyt sen.
Arvosteluasi ei voi lähettää
2 muuta tuotetta samassa kategoriassa:
Edellinen
Seuraava
Edellinen
Seuraava
Reviews
0 clients reviews
Valitettavasti arvostelusi hyväksyntää ei voi lähettää
Ilmoita kommentti
Ilmoitus lähetetty
Ilmoitustasi ei voi lähettää